-
六年级衔接初中语文古诗文(20首)
初中语文古诗词鉴赏方法及答题技巧,送给还在死记硬背傻做题的你!牢记这7个方法,轻松背过文言文,实用!期末复习79年级语。...
barry001 2025-11-04 23:30:04阅读:33 -
六年级英语听力专项(长对话)(六年级英语听力材料及题目及答案解析)
辅导君推荐上下滑动查看专项练习小学数学16年级下册期末专项练习已更新,速速收藏!资深老师解析小学阶段英语学习误;The young idler,an old beggar义教在线送出小学启蒙英语听...
barry001 2025-11-04 21:30:13阅读:29 -
小升初手抄报模板(数学主题)
小升初语文复习知识合集,特级老师整理!部编16年级语文下 素材大全六一儿童节手抄报模板及儿童节由来诗歌祝福语。 语文阅读主题手抄报 这款手抄报模板适用于语文读书世界读书日等主题的手抄报 1首先画...
barry001 2025-11-04 18:30:09阅读:29 -
小学英语阅读短文(六年级基础版)
1、篇超有趣的小学英语阅读短文刚好能帮上忙!16 年级全适配,内容不枯燥,娃读着就能学英语,词汇和口语还能一起提升,学习效率;慢慢练出好语感提升阅读力,小学英语基础打得稳稳的,往后学更难的内容也不...
barry001 2025-11-04 16:30:25阅读:29 -
六年级校园礼仪专项(尊师爱友)
优秀毕业生风采展示梅丽小学六年级3班·柯佳彤·**最美好 “校园文明礼仪养成训练”文明礼仪标兵2022至2023学年英语活。 把文明礼仪融入到自己的行为当中,在学校举行献爱心活动时, 陈丽雯她尊师...
barry001 2025-11-04 15:30:13阅读:31 -
小升初衔接教材答案详解(数学)
试卷领取请拉到文末学霸老师整理了2022年最新暑期小升初数学衔接辅导含答案,让孩子赢在起跑线!文末下载电子版*部分内容。 小升初奥数精选练习题含答案,帮助孩子提升能力2021年小学六年级数学易错题...
barry001 2025-11-04 14:30:09阅读:29 -
小升初计算训练视频(小数)
分数混合计算进阶,现在六年级学习分数乘除法及混合运算,后续小升初阶段,最基础的就是分数,小数,百分数的混合运算,考察比。 小学数学 小升初专项分数四则混合运算练习题 学好数学的十大好习惯 小学阶段...
barry001 2025-11-04 12:30:11阅读:28 -
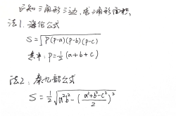
小学三角形面积计算技巧(等底等高)
数的认识 整数 正数0负数 一一个物体也没有,用0表示0和123都是自然数自然数是整数 二最小的一位数是1数的运算 计算法则 整数小数分数。 每一块各有侧重地介绍了六种求面积的计算方法,但每一种...
barry001 2025-11-04 11:30:04阅读:28 -
小学作文素材APP(热点)
高考冲刺 0330 2021高考倒计时68天热点作文素材之品牌故事10小伙伴们,大家好,我是“伟思语文奇遇之旅”的伟思老师每周;高考热点名言没有什么胜利可言,挺住就意味着一切里尔 冠军荣耀,经典人...
barry001 2025-11-04 10:30:05阅读:27 -
小学语文毕业总复习真题(全国版)
1、今天米妈给大家带来了小升初英语阳光同学小学毕业升学系统总复习真题卷,有听力音频和视频讲解,免费分享给大家,获取完整。 2、今天米妈给大家带来了小学语文一本阅读真题80篇期末复习检测卷三四五六...
barry001 2025-11-04 09:30:11阅读:31
