有理数加减乘除混合运算基本功练习(有理数加减乘除混合运算30道带答案过程)
barry001
阅读:34
2025-10-12 19:30:15
评论:0
1、在接下来的计算专项训练中,咱们主要进行有理数加减乘除混合运算训练让同学们在保证正确率的前提下,提高做题速度经验总结。

2、课程名称145有理数加减乘除混合运算微课视频先看视频再做练习!点击下方蓝色字进入观看微课视频七年级基础微。
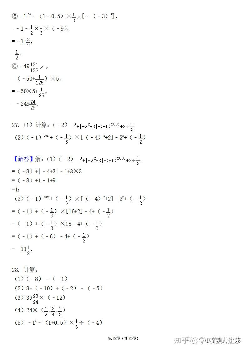
3、习题答案如果你已完成145有理数加减乘除混合运算中的习题,现在来对照一下习题答案吧,这是检验掌握情况的绝佳时机。
4、数学7上有理数加减乘除乘方混合运算,基础训练题。

5、运算顺序规定总原则从左往右,依次计算先后原则先乘除后加减,有括号先算括号里为什么这样规定?原因不止一个,有理。
6、例如有些学生加减乘除四则混合运算的法则不清楚,导致计算错误,对他们就要从混合运算的法则补起有的是乘法口决记忆不准确。
7、七上阶段计算无疑是非常重要的环节,涉及到有理数的加减乘除混合运算,分享一份试卷专门针对有理数混合运算整理的有理数专项训。
本文 htmlit 原创,转载保留链接!网址:https://www.fs-qilian.com/post/1215.html
声明
1.本站遵循行业规范,任何转载的稿件都会明确标注作者和来源;2.本站的原创文章,请转载时务必注明文章作者和来源,不尊重原创的行为我们将追究责任;3.作者投稿可能会经我们编辑修改或补充。
